The parabola with the general equation y= ax^2 bx 9 where0 < a < 10 and 0 < b < touches the xaxis at one point only The graph passes through the point (1, 25) Find the values of a and b Please help y = ax 2 c, where a≠ 0 In the parent function, y = x 2, a = 1 (because the coefficient of x is 1) When the a is no longer 1, the parabola will open wider, open more narrow, or flip 180 degrees Examples of Quadratic Functions where a ≠ 1 y = 1x 2;Question Use a system of equations to find the parabola of the form y=ax^2bxc that goes through the three given points (4,54),(2,6),(
Solved 2 A Parabola With An Axis Of Symmetry Parallel To The Y Axis Has The Equation Y Ax2 Bx C For Some Real Numbers 0 B And C Show Ay That
Parabola y ax 2
Parabola y ax 2-The Ushaped graph of a quadratic equation in the form of y = ax2 bx c is called a parabola The roots of the equation are the point (s) where the parabola crosses the xaxis These are the solutions found by factorizing or by using the quadratic formula There may be two, one or no roots The turning point is the point where the graph turnsY = ax2 bx c The parabola will open down when the a value is negative Ex y = 3x22x1 The parabola will open up when the a value is positive Ex y = 3x22x1 B Up or Down?



How To Analyze A Parabola 6 Steps With Pictures Wikihow
Δ/ 4a) L' ASSE DI SIMMETRIA della parabola è la retta di equazione x = b/2a Vediamo ora come si definisce la parabolaFree Parabola calculator Calculate parabola foci, vertices, axis and directrix stepbystep This website uses cookies to ensure you get the best experience Suppose #(x_1, y_1)# is some point on the parabola So #y_1 = ax_1^2bx_1c# The equation of a nonvertical line through #(x_1, y_1)# can be written in the form #yy_1 = m(xx_1)# ie #y = mx(y_1mx_1)# This will be a tangent to the parabola if and only if the only intersection with the parabola is at #(x_1, y_1)#
A Parabola is the graph of a quadratic relation of either form where a ≠ 0;The equation of parabola can be expressed in two different ways, such as the standard form and the vertex form The standard form of parabola equation is expressed as follows f (x) = y= ax2 bx c The orientation of the parabola graph is determined using the "a" value If the value of a is greater than 0 (a>0), then the parabola graph(a = 1) y = 1/2x 2 (a = 1/2) y = 4x 2 (a = 4) y = 25x 2 1 (a = 25) Change a, Change the Graph
Write the equation in the general form \(y = ax^2 bx c\) \k(x) = 5x^2 10x 2\ Therefore \(a = 5\);For example, a univariate (singlevariable) quadratic function has the form = ,in the single variable xThe graph of a univariate quadratic function is a parabola whose axis of symmetry is parallel to the yaxis, as shown at right If the quadratic function is set equal to zero, then the result is a quadratic equationThe solutions to the univariate equation are called the roots of theIn fact, each real number $v$ gives exactlyone parabola, whose vertex has $x$coordinate equal to $v$,which passes through $(1,1)$ and $(3,7)$ Finding Parabolas through Two Points Find all quadratic functions described by the equation $y = ax^2 bx c$ whose graph containsthe two points $(1,0)$ and $(3,0)$



Quadratic Function Y Ax 2 Bx C Quadratic



Quadratic Function Wikipedia
Given Parabola y = ax^2 The Parabola passes through point (1,3) Find a Plan Substitute Point (1,3) into y = ax^2 and solve for a y = ax^2 => by substituting 3 = a(1)^2 Therefore a = 3 Double Check For y = 3x^2, if x = 1 then y = 3(1)^2 = 3 x 1 = 3 recalculated/reasonable Answer a =3Y = ax 2 bx c è l'equazione di una PARABOLA con ASSE DI SIMMETRIA PARALLELO all'ASSE delle y Il VERTICE di tale parabola ha come coordinate V ( b/2a ; Persamaan parabola y = ax 2 bx c adalah sebagai berikut y = x 2 – 4x c melalui titik (0,1) 1 = 0 2 – 4(0) c c = 1 Maka bisa dihitung y = x 2 – 4x 1 x p = b/2a = (4)/2(1) = 2 dan y p = (2) 2 – 4(2) 1= 5 Sehingga titik puncak parabolanya yaitu (2,5) Jadi jawabannya yaitu E Soal 4 (UN 08)



Lessons 5



Math 140 Lecture 28 Y Ax2 Bx C University Of San Diego Flip Ebook Pages 1 5 Anyflip Anyflip
Find the yintercept for the equation by letting x equal zero The equation becomes y = 0x squared 0x c or y = c Note that the yintercept of a quadratic equation written in the form y = axAnswer (1 of 8) Substitute each point for x and y value given, into ax^2 bx c (1,4) a(1)b(1)c=4 (2,7) a(2)^2 b(2) c = 7 (1,10) a(1)^2 (1)b c = 10 system of eq abc=4 4a2bc=7 abc=10 Solution from Symbolab Math Solver Step by Step calculator a=2, b=3, c=5 A Quadratic Equation takes the form y = ax2 bx c Graph of a quadratic function forms a Parabola The coefficient of the x2 term (a) makes the parabola wider or narrow If the coefficient of the x2, term (a) is negative then the parabola opens down The term Vertex is used to identify the Turning Point of a parabola



Solved Writing The Parabola In The Figure Has An Equation Of The Form Y A X 2 B X 4 Find The Equation Of This Parabola Two Different Ways By Hand And With Technology Write A



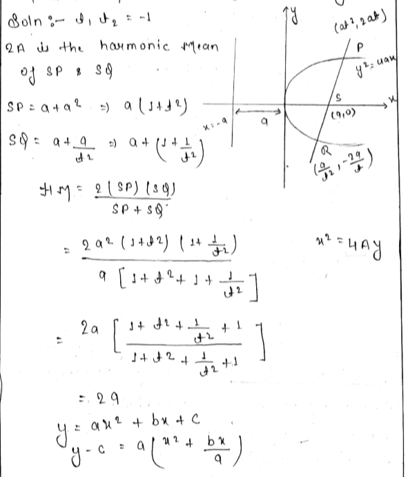
If The Line Passing Through The Focus S Of The Parabola Y A X 2 Bx C Meets Through Parabola At P And Q And If Sp 4 And Sq 6 Then Find Value Of A
PARABOLAS TRANSLATIONS AND APPLICATIONS QUADRATIC RELATION A quadratic relation in two variables is a relation that can be written in the form y=ax^2bxc or x=ay^2byc where a, b, and c are real numbers, and a!=0 The graphs of quadratic relations are called parabolas The simplest quadratic relation of the form y=ax^2bxc is y=x^2, with a=1, b=0, and c=0, so thisDerive the equation for the parabola y 2 = 4 a x in standard form Medium View solution > View more Get the Free Answr app Click a picture with our app and get instant verified solutions Scan Me OR Receive an SMS with download link 91 send CLASSES AND TRENDING CHAPTER class 5Axis\(y3)^2=8(x5) directrix\(x3)^2=(y1) parabolaequationcalculator y=x^{2} en Related Symbolab blog posts Practice, practice, practice Math can be an intimidating subject Each new topic we learn has symbols and problems we have never seen The unknowing



If Distance Between Vertex And Focus Of The Parabola Y Ax 2 Bx C Is Unity Then Value Of A Is Sarthaks Econnect Largest Online Education Community



Graphing A Parabola Of The Form Y Ax 2 Bx C Integer Coefficients Youtube
The quadratic equation itself is (standard form) ax^2 bx c = 0 where a is the coefficient of the x^2 term b is the coefficient of the x term c is the constant term you use the a,b,c terms in the quadratic formula to find the roots the minimum / maximum point ofIn the next few questions, we will find the roots of the general equation y = a x 2 b x with a ≠ 0 by factoring, and use that to get a formula for the axis of symmetry of any equation in that form Question 5 We want to factor a x 2 b x Because both terms contain an x, $\begingroup$ Your equation imposes that the parabola passes through the origin and is symmetric about the yaxis How this relates to your physical mirror is likely obvious to you, but Readers can't "see" what you can (a lack of context), and this makes it difficult to recommend where to put the ruler ("some kind of straight line") to take



Find The Parabola Of The Form Y Ax 2 B Which Best Fits The Points 1 0 4 4 5 8 Mathematics Stack Exchange



Vertex Formula What Is Vertex Formula Examples
Click here👆to get an answer to your question ️ The graph of the equation y = ax^2 bx c has shape open upwards like which is known as parabola, when Solve Study Join / Login QuestionWe know that the standard form of x) Here, half the coefficient of x is b/2a and its square is b 2 /4a 2 Adding andY x The standard form of a quadratic function is a > 0 a < 0



Quadratic Graph Example Y Ax C Expii



Which Is The Coordinate Of The Vertex Of Y Ax 2 Bx C Quora
If not, then why? 2 Find abc if the graph of the equation y=ax^2bxc is a parabola with vertex (5,3), vertical axis of symmetry, and contains the point (2,0) GuestBy definition, the axis of symmetry of a parabola is a vertical line that divides the parabola into two halves The axis of symmetry always goes through the vertex of a parabola The quadratic equation of parabola $$ Y = ax^2 bx c $$ where (a, b) is the coefficient at x and 'c' is a constant term The quadratic equation \ ( y = ax^2



Parabolas



Focus Of Parabola Y Ax 2 Bx C Is
How to Graph a Parabola of the Form {eq}y=ax^2c {/eq} Step 1 The x coordinate of the vertex for this type of quadratic function will always be 0 Create a table with two values to the left ofGiven a quadratic function \(f(x) = ax^2bxc\), it is described by its curve \y = ax^2bxc\ This type of curve is known as a parabola A typical parabola is As we change the leading coefficient in the equation of a parabola, y=ax^2bxc are we changing its eccentricity?



How Do You Graph F X 3x 2 4x 1 Socratic



Quadratic Function Parabola
The graph of the equation y = ax2 bx c is a parabola congruent to the graph of y = ax 2 Recall that a quadratic function is any function f whose equation canThe general form of a quadratic is "y = ax 2 bx c"For graphing, the leading coefficient "a" indicates how "fat" or how "skinny" the parabola will beFor a > 1 (such as a = 3 or a = –4), the parabola will be "skinny", because it grows more quickly (three times as fast or four times as fast, respectively, in the case of our sample valuesParabolas Parabolas The graph of a quadratic equation in two variables (y = ax2 bx c) is called a parabola The following graphs are two typical parabolas their xintercepts are marked by red dots, their yintercepts are marked by a pink dot, and the vertex of each parabola is marked by a green dot We say that the first parabola opens upwards (is a U shape) and the second



Which Of The Following Is An Equation In The Form Y Ax2 Bx C Of The Parabola Shown In The Brainly Com



Graph Of The Parabola Y Ax 2 Worksheet With Solutions Teaching Resources
The parabola has so far been defined as the graph of the function y = ax 2 bx c There is also a geometric definition of the parabola in terms of the path traced out by a moving point (Such a graph is known as a locus )Ask Question Asked 29 days ago Active 29 days ago Viewed 47 times 1 $\begingroup$ I was not able to relate why we do not get a change in eccentricity when we change the leading coefficient in the equation of aFind stepbystep Calculus solutions and your answer to the following textbook question For what values of a and b is the line 2xy=b tangent to the parabola y=ax^2 when x=2?



The Parabola Y Ax 2 Bx C Is Graphed Below Find A B C The Grid Lines Are One Unit Brainly Com



The Department Of Mathematics Education J Wilson Emat 6680 Assignment 2 Quadratics By Hulya Kilic In This Assignment I First Constructed The Graphs Of Parabolas Having Standard Form Y Ax2 Bx C Here The Graphs Of The Parabolas That I Chose Then
The maximum value of κ is κ max = κ ( 0) = 2 a Keep in mind that the vertex of the parabola y = a x 2 is ( 0, 0), so the maximum indeed occurs at the vertex where t = 0 Edit Here's an important side note If f ( x) is a twicedifferentiable function, the curvature of the graph of y = fLearn how to graph a parabola of the form f(x)=ax^2bxc with integer coefficients, and see examples that walk through sample problems stepbystep forY = m x b and that its graph is a line In this section, we will see that any quadratic equation of the form y=ax2bxc y = a x 2 b x c has a curved graph called a parabola The graph of any quadratic equation y = a x 2 b x c y = a x 2 b x c, where a, b, and c



The Function F X Y And Associated Matrices E And E



Examining The Parabola Assignment 2
Y = ax2 bx c or x = ay2 by c 2 Geometric A parabola is the set of all points in a plane and a given line From the geometric point of view, the given point is the focus of theFind the equation of the following parabola of the form y = ax 2 The graph is of the form y = ax 2 The given coordinate is ( 2, 1 ) So x = 2 and y = 1 are on the curve Substitute and solve Parabolas of the form y = a(xb) 2 Example Complete the table of values for the equation y= (x2) 2 Plotting these points and joining with a smooth curve gives This time,the graph isSuppose we have a parabola y = a x 2 b x c y = ax^2 bx c y = a x 2 b x c Then the equation a x 2 b x c = 0 ax^2 bx c = 0 a x 2 b x c = 0 is bound to have two roots since it is a quadratic equation However, the number of real roots depends on the parabola



Polynomials



Mfg Graphing Parabolas
The graph of a quadratic equation in two variables (y = ax 2 bx c) is called a parabola Secondly, how do you find the Y intercept of ax 2 bx c?The Parabola Algebraic Definition of The Parabola Recall that the standard equation of the parabola is given by y = a (x h) 2 k If we are given the equation of a parabola y = ax 2 bx c we can complete the square to get the parabola in standard form Geometry of the Parabola We can define a parabola as followsGraphing Parabolas Fill in the form with the values from your problem, then click "Draw it!" The form y=ax 2 y= x 2 Plot Information Color Red Blue Green Purple Xaxis range Minimum Maximum Yaxis range Minimum Maximum



All Elementary Mathematics Study Guide Functions And Graphs Elementary Functions And Their Graphs



A Parabola Y Ax 2 Bx C Ac 0 Crosses The X Axis At A And B A Variable Circle Is Drawn Passing Through A And B The Length Of A Tangent From
About Press Copyright Contact us Creators Advertise Developers Terms Privacy Policy & Safety How works Test new features Press Copyright Contact us CreatorsThe first form, which is usually referred to as the standard equation of a parabola is y = ax 2 bx c, where a, b, and c are constants and a is not equal to zero The focus of this paper is to determine the characteristics of parabolas in the form y = a(x h) 2 k For our purposes, we will call this second form the shiftform equation of a parabolaExploring Parabolas y = ax^2 bx c Exploring Parabolas by Kristina Dunbar, UGA Explorations of the graph y = a x 2 b x c In this exercise, we will be exploring parabolic graphs of the form y = a x 2 b x c, where a, b, and c are rational numbers In particular, we will examine what happens to the graph as we fix 2 of the values for a, b, or c, and vary the third



Exploring Parabolas Y Ax 2 Bx C



In The Equation Y Ax 2 Bx C Of A Parabola What Do A B C Represent Mathematics Stack Exchange



Parabola Y Ax 2 Worksheet With Solutions Payhip



Quadratic Function



Graphing Parabolas



To Investigate The Effect Of The Constants A B And C On The Graph Y Ax2 Bx C Gcse Maths Marked By Teachers Com



Lessons 5



Quadratic Function



J 4 Y 1 0 13 Focus Of Parabola Y Ax2 Bx C Is 2a 4a 2a 14 4a The Tow



In A Nutshell Parabola Forms Adrian S Study Club



Quadratic Graph Example Y Ax C Expii



Investigating Y Ax 2 Bx



1



Transformations Of Equations Of Parabola Parametric Equations Of Parabola



Lesson 10 2 Quadratic Functions And Their Graphs Y Ax 2 Bx C Ppt Download



Graphing Y Ax 2 C



Suppose A Parabola Y Ax 2 Bx C Has Two X Intercepts One Positive And One Negative And Its Vertex Is 2 2 Then Which Of The Following Is True



Quadratic Systems A Line And A Parabola Video Khan Academy



Solved Find The Parabola With Equation Y Ax 2 Bx Whose Chegg Com



1



2



Vertex Form How To Find The Equation Of A Parabola



Lessons 5



Standard Form Of Parabola Y 2 4ax Equation Of A Parabola Solved Examples



Quadratic Graph Example Y Ax Expii



Solved 75 Find The Parabola With Equation Y Ax2 Bx Whose Chegg Com



Quadratic Formula Calculator



This Is What The Problem Says Assuming All Parabolas Are Of The Form Y Ax 2 Bx C Drag And Drop The Brainly Com



Suppose A Parabola Y Ax 2 Bx C Has Two X Intercepts One Positive And One Negative And Its Vertex Is 2 2 Then Which Of The Following Is True



Show That Y Ax 2 Bx C A 0 Represents A Parabola And Find Its Vertex Focus Directrix And Latus Rectum Sarthaks Econnect Largest Online Education Community



How Do You Find A Parabola With Equation Y Ax 2 Bx C That Has Slope 4 At X 1 Slope 8 At X 1 And Passes Through 2 15 Socratic



Quadratic Graph Example Y Ax Expii



A Parabola Y A X 2 B X C Crosses The X Axis At Alpha 0 Beta 0 Both To The Right Of The Origin A Circle Also Passes Through These Two Points The Length Of A Tangent From The



If Y Ax 2 Bx C Represents A Parabola With Vertex A As Shown In The Figure And B 2 2 B 2ac Sarthaks Econnect Largest Online Education Community



Axis Of Symmetry Of A Parabola



Sat Math Grid Ins Question 97 Answer And Explanation Cracksat Net



Ppt Recall The Graph Of A Quadratic Function Y Ax 2 Bx C Is A Parabola Powerpoint Presentation Id



Y Ax 2 Bx C



Axis Of Symmetry Parabola



Standard And Vertex Form Of The Equation Of Parabola And How It Relates To A Parabola S Graph



Find The Center Of Mass Of The Area Of The Xy Plane Bounded By The Parabola Y Ax 2 And The Line Y B The Area Has A Mass M Study Com



Vertical Shifts Of Quadratic Functions Ck 12 Foundation



The Equation For A Parabola Has The Form Y Ax 2 Bx C Where A B And C Are Constants Homeworklib



Is The Parabola Described By Y 2x 2 Wider Or Narrower Than The Parabola Described By Y X 2 Socratic



Quadratic Functions Parabola Radford Mathematics



Quadratic Function



Chapter 4 Quadratic Functions And Various Nonlinear Topics



Sat Math Multiple Choice Question 2 Answer And Explanation Cracksat Net



Solution Which Statement Must Be True If A Parabola Represented By The Equation Y Ax 2 Bx C Does Not Intersect The X Axis B 2 4ac 0 B 2



Answered Assuming All Parabolas Are Of The Form Bartleby



Example 3 Graph A Function Of The Form Y Ax 2 Bx C Graph Y 2x 2 8x 6 Solution Identify The Coefficients Of The Function The Coefficients Ppt Download



Graphing Quadratics



How To Analyze A Parabola 6 Steps With Pictures Wikihow



The Graph Of Y Ax 2 Bx C Has A Minimum At 5 3 And Passes Through 4 0 How Do I Find The Values Of A B And C Quora



Parabola Y Ax 2 Geogebra



Topic U2 L1 Parts Of A Quadratic Function Graphing Quadratics Y Ax 2 Bx C Eq Can I Identify The Vertex Axis Of Symmetry X And Y Intercepts Ppt Download



Standard And Vertex Form Of The Equation Of Parabola And How It Relates To A Parabola S Graph



Solved Find The Parabola Of The Form Y Ax 2 B Which Best Chegg Com



Graphing Parabola Y Ax 2 Youtube



Solved Find A Parabola With Equation Y Ax2 Bx C That Chegg Com



Parabola Y Ax 2 Geogebra



Solved 2 A Parabola With An Axis Of Symmetry Parallel To The Y Axis Has The Equation Y Ax2 Bx C For Some Real Numbers 0 B And C Show Ay That



Assignment 2 Investigating The Relationship Between The Two Standard Forms Of The Graph Of A Parabola



Parabola Wikiversity



Graphing A Parabola Of The Form Y Ax2 Bx C With Integer Coefficients Youtube



10 1 Quadratic Graphs Ppt Download



Algebra1 Graphing Y Ax 2 Youtube



118 If Y Ax2 Bx C Represents A Parabola Opening Downward Scholr



Vertex Form How To Find The Equation Of A Parabola



Graphing Parabolas In The Form Y Ax 2 Youtube



Quadratic Function



Consider A Parabola Y Ax 2 B X 0 Le X Le X 0 Img Src D10lpgp6xz60nq Cloudfront Net Physics Images Res Dpp Phy 07 E01 031 Q01 Png Width 80 If This Curve Is Rotated About Y Axis We Get A Paraboloid Surface The Volume Below This



Quadratic Graph Example Y Ax Expii



1



Copy Of Math Concept Timeline Sutori



What Are The Coefficients A B And C Of The Parabola Y Ax 2 Bx C That Passes Through The Point 3 13 And Tangent To The Line 8x Y 15 At 2 1 Quora



The Parabola



Suppose A Parabola Y Ax 2 Bx C Has Two X Intercepts One Positive And One Negative And Its Vertex Is 2 2 Sarthaks Econnect Largest Online Education Community


0 件のコメント:
コメントを投稿